İskemik inme için mevcut kılavuz, intravenöz trombolitik tedavinin, inmenin başlamasından sonraki 4.5 saat içinde başlatılmasını önermektedir. Bu rehberler temel olarak, hasta seçimi için kontrastsız bilgisayarlı tomografi (BT) kullanılmış çalışmaların meta-analizine dayanmaktadır. BT perfüzyon ve perfüzyon-difüzyon manyetik rezonans görüntüleme (MRG), inmenin başlamasından 4.5 saat sonra trombolitik için potansiyel olarak uygun beyin dokusunu gösterebilir. Kurtarılabilir beyin dokusunu (penubra), tromboliz yoluyla iyileştirdiğini ve reperfüzyonu sağladığını iddia eden iki çalışmayı sizlerle paylaşacağım. Esasen kılavuzun önerisi reperfüzyon tedavisi için inmenin başlangıcını esas alır ancak burada ikisinden bahsedeceğim bazı çalışmalar reperfüzyon tedavileri için hastaların inme başlangıcından ziyade doku viyabilitesine göre seçilmesi gerektiğini savunur. Kişisel yorumlarımın da yazı içine dahil edildiğini hatırlatmak isterim. Resimlerin üzerini tıklarsanız geniş geniş inceleme imkanı bulabilirsiniz. İyi okumalar.
Bir rekombinant doku plazminojen aktivatörü olan alteplaz ile intravenöz tromboliz, semptomların başlamasından sonraki 4.5 saat içinde akut iskemik inme için standart tıbbi tedavidir. İnmelerin % 14 ila 27’sinde, semptomların başlama zamanı bilinmemektedir çünkü sıklıkla inme semptomları hasta uykudan uyandığında fark edilir. Bu tür hastalar genellikle intravenöz alteplaz ile tedaviden dışlanır ve sadece bazıları mekanik trombektomi için seçilir. İnme başlangıcından 24 saat sonra kurtarılabilir beyin dokusu kanıtı gösteren hastalarda endovasküler trombektominin faydası, trombolitik tedavi için kullanılan zaman pencereleri ile trombektomi için kullanılan zaman pencereleri arasında farklılığa neden olmuştur.
İlk bahsedeceğim çalışma WAKE-UP protokolü olarak da bilinen MRI-Guided Thrombolysis for Stroke with Unknown Time of Onset1. Yani başlangıcını bilmediğimiz inme hastalarına MRG kılavuzluğunda trombolitik versek nasıl olur?

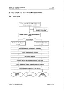
İnme zamanı bilinmeyen, difüzyon ağırlıklı görüntüleme ile FLAIR (fluid-attenuated inversion recovery) bulguları uyumsuz hastalarda, alteplazın fonksiyonel sonuçları iyileştirip iyileştirmeyeceğini belirlemek için WAKE-UP protokolü ile MRG Tabanlı Trombolizin Etkinliğini ve Güvenliğini değerlendirmişler. Çalışma protokolünü okuduğumda böyle bir çalışmayı ülkemizde yapmanın imkansız olduğunu düşündüm. Böyle bir çalışmaya etik kurul onayı alabilecek klinik varsa yorum kısmın yazsın ben de seve seve utanayım. MRG, difüzyon ağırlıklı görüntülemede akut iskemik lezyon gösterir ancak FLAIR’de standart pencere ayarları ile parankimal hiperintensite saptanmazsa, hastalar çalışmaya dahil edilir. Dahil edilme kriterleri akut inme klinik bulguları ile başvuracak, 18 ila 80 yaşları arasında olacak ve inme öncesi destek almadan günlük yaşamlarında olağan aktiviteler gerçekleştirebilen hastalar. Hasta uyanırken inme semptomları olacak veya semptomların başlangıcının zamanlaması bilinmeyecek. Hasta en son iyi bilindiğinden beri geçen zaman, 4,5 saatten fazla (üst sınırsız) olmacak. MRG difüzyon ağırlıklı görüntülemede anormal bir sinyalin varlığı ve akut inme bölgesinde FLAIR’de görünür bir sinyal değişikliği olması esas alınmış. Trombektomi planlanan hastalar ve Ulusal Sağlık İnme Ölçeği Ölçeği (NIHSS) 25’ten fazla puan olanlar çalışma dışı bırakılmış. Çok ağır olmayan hastalar dahil edilmiş yani. Primer sonuç, 90 gün sonra modifiye Rankin skalasında 0 veya 1 puan olması olarak belirlenmiş.

Sonuçta, alteplaz grubundakilerin nörolojik defisit veya majör maluliyetten oranları, 90 günde plasebo grubundan 11,5 puan daha yüksek olarak bulunmuş. İntravenöz alteplaz, modifiye Rankin skalasında sayısal olarak daha iyi skorlarla ve skaladaki tüm kategorilerde daha iyi sonuçlara ilişkilendirilmiş. Çalışmanın, genellikle endovasküler tedavi için uygun olmayacak küçük veya orta dereceli inme hastalarında, alteplaz ile reperfüzyon tedavisinin yararına dair kanıt sağlayacağını savunmaktalar. Alteplazın, çalışmada yer alan tipte hafif veya orta dereceli inmeli hastalar arasındaki tedavi etkisinin, önceki tromboliz çalışmaları ile tutarlı olduğunu göstermişler.

Şimdi gelelim sıkıntılı kısma, alteplaz grubunda, plasebo grubuna göre, sayısal olarak daha fazla ölüm ve anlamlı derecede daha fazla tip 2 parankimal kanama görülmüş. Bu bulgu, alteplaz tedavisi ile ilişkili artmış ölüm oranı için önceki tromboliz çalışmaları ile havuzlanmış analizdekine benzermiş. Yine bu çalışmada alteplaz grubunda semptomatik intrakraniyal kanama insidansı, inme tedavisi için önceki tromboliz çalışma bulgularına göre daha yüksekmiş. Çalışma, finansmanın kesilmesi nedeniyle erken durdurulmuş ve planlanandan daha az hasta alınmış. Bu durumun, güvenlik sonuçlarının yorumunu sınırlayacağını çünkü alteplaz grubunda daha yüksek ölüm oranın, daha büyük örneklem büyüklüğünde önemli olabileceğinden bahsetmişler.
Sonuç olarak, akut inmeli, semptom başlangıcı bilinmeyen ve difüzyon ağırlıklı görüntülemede iskemik MRG bulguları olan, ancak FLAIR’da ilgili bölgede parankim hiperintensitesi bulunmayan hastalarda, alteplaz ile intravenöz tromboliz, plasebodan daha iyi fonksiyonel sağ kalım sağlar şeklinde çalışmayı bitirmişler. Kulağa hoş gelen harika bir sonuç ancak bir sonraki çalışmada da bahsedeğim gibi çalışmada kaybedilen veya ciddi intrakraniyal kanama gelişmiş hastalara çok kısa değinilmiş. Çalışmayı para bitti diye 800 hasta alacakken 503 hasta ile sonlandırıp, planlanandan daha az hasta alıp sonra da fazla alınsaydı mortalite oranının örneklem büyüklüğü ile artabileceğinden bahsetmesi sanki çalışmayı başka nedenlerle erken sonlandırmış olabileceklerini düşündürdü bana. Oturduğum yerden ahkam kestiğimi düşünenleri yorum kısmına beklerim.
İkinci çalışmaya geçersek, araştırmacılar, alteplaz ile intravenöz trombolizin, inme başlangıcından 4.5-9 saat sonra veya inme semptomlarıyla uyanmış(başlangıç zamanı bilinmeyen), hipoperfüzyon alanıyla orantısız, küçük core infarkt beyin hacmine sahip olan hastalarda yarar sağlayacağı hipotezini test etmek istemişler. Bu yazı EXTEND protokolü ile hazırlanmış bir çalışma adı da Thrombolysis Guided by Perfusion Imaging up to 9 Hours after Onset of Stroke2, yani perfüzyon kılavuzluğunda inme semptomu başlangıcından 9 saate kadar trombolitik versek nolur?

Önceden fonksiyonel kaybı olamayan, >18 yaş, , başvuru anında NIHSS 4 ile 26 arasında, perfüzyon görüntülemesinde hipoperfüze ancak kurtarılabilir beyin bölgeleri tespit edilmiş hastalar çalışmaya dahil edilmiş. Burada kullandıkları radyolojik yöntemin, yukarıdaki çalışmadan farklı olduğunu söylemek isterim.

Ağustos 2010 ile Haziran 2018 arasında, Avustralya’daki 16 merkezde, 1 Yeni Zelanda’daki merkezde, Tayvan’daki 10 merkezde ve Finlandiya’daki 1 merkezde toplam 225 hasta çalışmaya alınmış. Alteplaz grubuna 113, plasebo grubuna ise 112 hasta dahil olmuş. Hastalar ya alteplaz (0.9 mg/kg [maksimum, 90 mg], IV % 10 bolus ve 1 saatte % 90 infüzyon) veya eş zamanlı plasebo almaları için rastgele atanmış. Hastalar 3 gruba ayrılmış. Bunlar; İnme başlangıcından sonra >4.5-6.0 saat, inme başlangıcından sonra > 6.0-9.0 saat veya inme semptomlarıyla uyanma.
Birincil sonuç, modifiye Rankin skalasında 90 günde 0 veya 1 olan bir puan alabilecek mi? Yani bu durum, tüm olağan aktivitelere geri dönüş ile mükemmel bir işlevsel sonuç anlamına geliyor. Alteplaz grubunda 40 hastada (% 35.4), plasebo grubunda 33 hastada (% 29.5) (düzeltilmiş risk oranı, 1.44;% 95 güven aralığı [CI], 1.01 ila 2.06; P = 0.04) 90 gün sonundaki olumlu hedeflere ulaşılmış.Sonuçların ayrıntısı için tablolara bakabilirsiniz.

Araştırmacılar, akut iskemik inme ve perfüzyon görüntüleme ile tespit edilen uygun hastalar için, inme başlangıcından 4.5 ila 9.0 saat sonra veya hastanın inme semptomları ile uyandığı zaman, alteplaz tedavisi ile plasebo kullanımı arasında, modifiye Rankin skalası açısından 6 puan gibi mutlak bir farkın olduğuna dikkat çekmekteler.
Girişimden sonraki 90 gün içinde ölen hastaların yüzdesi alteplaz grubu ile plasebo grubu arasında anlamlı farklılık göstermemiş (113 hastanın 13’ü [% 11,5], 112 hastanın 10’u (% 8,9); düzeltilmiş risk oranı, 1.17; % 95 CI, 0.57 ila 2.40; P = 0.67). 7 gün içinde ölüm, 225 hastanın 9’unda (% 4.0) görülmüş – alteplaz grubunda 5 (2’sinde semptomatik kanama) ve 4’ü plasebo grubunda. Semptomatik intrakranial kanama, alteplaz grubunda 113 hastanın 7’sinde (% 6.2) ve plasebo grubunda 112 hastanın 1’inde (% 0.9) (düzeltilmiş risk oranı, 7.22;% 95 CI, 0.97 ila 53.54; P = 0.053) gelişmiş. Bu çalışmada, semptomatik intraserebral kanaması olan hastaların yüzdesi, alteplaz grubunda (%6) plasebo grubundan (% 1) daha yüksekti. Bu bulgunun, EPITHET, DAWN ve DEFUSE çalışmalarında gözlemlenen ile benzer olduğu yazarlarca belirtilmiş. Yani böyle olmasının beklenen bir şey olduğu hissi yaratılmış.
Çalışma yukarıda bahsettiğim, WAKE-UP çalışma sonuçlarının Mayıs 2018’de yayınlanması ile veri ve güvenlik izleme kurulu kararı ile bu çalışma sonlandırılmış. WAKE-UP çalışmasının olumlu sonuçları nedeniyle, mevcut EXTEND çalışmasını erken sonlandırma kararı aldıklarını belirtiyorlar (planlanan 310 alınan 225). Hasta popülasyonu ve görüntüleme yöntemleri farklı ve WAKE-UP’taki inme klinik şiddeti daha düşük olsa da benzer çalışmalar olduklarına dikkat çekiyorlar.
Burada çalışmanın neden sonlandırıldığı ile ilgili bir cümle var. Aynen şöyle diyor: “After the results of the Efficacy and Safety of MRI-Based Thrombolysis in Wake-Up Stroke (WAKE-UP) trial were published in May 2018, the data and safety monitoring board recommended the discontinuation of the trial because of loss of equipoise.” Burada equipoise etik bir tabir, denge anlamına geliyor. Araştırmacılar bu ilacın artık kesinlikle işe yaradığını düşünüp çalışmaya devam etmiyorlar. Bu da aslında etik literatüründe tartışma konusu, bir çalışma, araştırmacıları ikna olunca mı kesilmeli yoksa bir çalışma tüm tıp camiasını ikna edecek hedefli, sonuna kadar mı gitmeli?
Sonuç kısmında, “inme başlangıcından 4.5 ile 9 saat arasında ya da inme semptomları ile uyanmada olumlu perfüzyon görüntüleme profili olan hastalarda alteplaz tedavisinin kullanılması, plasebo kullanımına göre hiç ya da minör nörolojik bozukluklarla sonuçlanmıştır” savını öne sürmüşler. Çalışmanın erken sonlandırılmasının, varılan sonuçların gücünü sınırladığını ve bu süre penceresinde daha fazla tromboliz denemesi yapılması gerektiğini vurgulamışlar.
Sözün özü, her iki çalışma da geç dönem inme hastaları için trombolitik kararı verirken, süreden daha ziyade radyolojik teknikleri göz önünde bulundurma taraftarı. İnfarktı küçük, penubrası büyük hastaların, bu sayede bir şansları olacağını öne süren çalışmalar. Hastaların ölüm ve kanama riski artıyor evet ancak bunu da beklenen komplikasyonlar olarak yorumluyorlar.
İleri okuma
https://www.ahajournals.org/doi/pdf/10.1161/STROKEAHA.111.618355
https://www.ncbi.nlm.nih.gov/pmc/articles/PMC3786020/pdf/nihms448600.pdf
Kaynaklar
- 1.Thomalla G, Simonsen CZ, Boutitie F, et al. MRI-Guided Thrombolysis for Stroke with Unknown Time of Onset. N Engl J Med. August 2018:611-622. doi:10.1056/nejmoa1804355
- 2.Ma H, Campbell BCV, Parsons MW, et al. Thrombolysis Guided by Perfusion Imaging up to 9 Hours after Onset of Stroke. N Engl J Med. May 2019:1795-1803. doi:10.1056/nejmoa1813046
